昊博LOGO
“熔體法高塔空氣冷生產硝基(尿基)複合肥”
瀏覽次數:794 次     作者:昊博幹燥機    文章來源:http://shxinzhan.cn
  化肥作為農業不可缺少的生產成分,是保證農業增產的重要手段。在我國這樣一個用占世界7%的耕地養活世界22%人口的大國,化肥的發展仍滿足不了農業的發展需求。高塔造粒生產的複合肥,具有抗壓強度高且水溶快、養份均勻、肥料利用率高、產品質量穩定、成本低等特點,而遠優 越於其他國內生產的普通複合肥。  
  1996nianshandonglaiyanghuafeichangyushanghaihuagongyanjiuyuanhezuo,zainiaosutashang,liyonggaowenwushuiniaoyezuozaiti,anbilitianjialejingguojiareshengwenbingquchushuifenhoudefenzhuanglinanhelvhuajia,zaihunheguanneihunhehou, 通過尿素造粒噴頭生產出了中國的第一粒高塔複合肥粒子,我公司也參與了其中技術研究與裝備的配套。  
  2002年史丹利公司和中化山東肥業兩套裝置一次開車成功,國內的塔式工藝便陸續建設投產,由於顆粒產品養份均 勻,含氮量高外觀圓潤、不易假冒等優勢產品供不應求,在國內複混肥行業引起了高塔建設風潮。高塔工藝成為很多氮肥生產企業(尿素、硝銨)調整產品結構的戰略首選,一 些不生產氮肥的企業也采用將固體尿素或硝銨重新熔觸的方法進行高塔造粒生產。據不完全統計,至2014年底,已有複混肥造粒塔超過150座,山東省最多。總生產能力己超過 2000萬噸。近年來的建設高塔的趨勢向西南及資源地發展以及大型尿素、硝銨企業開始運作配套該項目。  
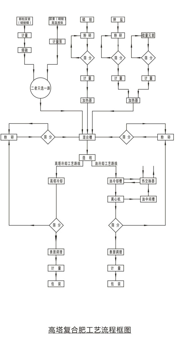
  工藝原理固體尿素或硝銨(硝銨磷等)通過熔融器加熱熔融後成為熔融液,也可以直接使用蒸發濃縮後的液態尿液(硝銨)液中加入相應的磷肥、鉀肥、填料及添加劑製成 混hun合he料liao漿jiang。混hun合he料liao漿jiang進jin入ru高gao塔ta造zao粒li設she備bei進jin行xing噴pen灑sa造zao粒li,物wu料liao在zai從cong高gao塔ta下xia降jiang過guo程cheng中zhong,與yu塔ta底di上shang升sheng氣qi流liu阻zu力li相xiang互hu作zuo用yong,與yu其qi進jin行xing熱re交jiao換huan後hou降jiang落luo到dao塔ta底di,落luo入ru塔ta底di的de物wu料liao,經jing篩shai分fen表biao麵mian處chu理li後hou得de到dao顆ke粒li複fu合he肥fei。
  工藝核心:混合製漿工藝是整個工藝的核心。其料漿的好壞直接決定整個裝置運行是否成功,在混合製漿設備的選用上,90%以上的企業交了學費並付出了高昂的代價,以為該設備就是儲罐和容器,隨便采購或自製都能使用。但實際應用卻並不那麼簡單。  
  熔體法生產複(混)合肥生產過程中,混合製漿設備 的功能是把生產原料,由一定比例的固體和液體兩種形 態,在要求的時間內快速形成均勻、流動性良好的混合料 漿,並在混合過程中,盡量避免物料間發生縮合、螯合、 聚(ju)合(he)等(deng)反(fan)應(ying),方(fang)能(neng)便(bian)後(hou)序(xu)的(de)造(zao)粒(li)工(gong)序(xu)順(shun)利(li)進(jin)行(xing),使(shi)造(zao)粒(li)機(ji)順(shun)暢(chang)造(zao)粒(li)和(he)提(ti)高(gao)造(zao)粒(li)後(hou)顆(ke)粒(li)成(cheng)球(qiu)率(lv),否(fou)則(ze),容(rong)易(yi)造(zao)成(cheng)造(zao)粒(li)機(ji)造(zao)粒(li)噴(pen)頭(tou)的(de)堵(du)塞(sai)及(ji)造(zao)粒(li)後(hou)顆(ke)粒(li)成(cheng)球(qiu)率(lv)的(de)下(xia)降(jiang)。


聯係我們
聯係電話:
公司電話:
公司傳真:
公司地址:河南省三門峽市湖濱區工業園區

郵箱:@163.com
熱門標簽